Counting Up, Counting Down
Harry Turtledove
Still Life
Jacqueline West
Books of Elsewhere (5)
Cry Sanctuary
Moira Rogers
Red Rock Pass (1)
Holding on to Chaos
Lucy Score
Blue Moon (5)
Falling Out of Fashion
Karen Yampolsky
Sullivan's Justice
Nancy Taylor Rosenberg
Carolyn Sullivan (2)
The Path of Daggers
Robert Jordan
Wheel of Time (8)
Darkfever
Karen Marie Moning
Fever (1)
Breaking Dawn
Stephenie Meyer
Twilight (4)
A Crown of Swords
Wheel of Time (7)
Adventures of Huckleberry Finn
Mark Twain
Tom Sawyer (2)
Common Sense and Other Writings
Thomas Paine
Weddings Can Be Murder
Christie Craig
Northfield
Johnny D. Boggs
Irresistible Forces
Brenda Jackson
His Majesty's Dragon
Naomi Novik
Temeraire (1)
Winter's Passage
Julie Kagawa
The Strangely Beautiful Tale of Miss Percy Parker
Leanna Renee Hieber
Glades, The: "Pilot"
Clifton Campbell
Siren of the Waters
Michael Genelin
Jana Matinova Investigation (1)
One Shot
Lee Child
Jack Reacher (9)
Lord of Chaos
Wheel of Time (6)
If I Were You
L. Ron Hubbard
Home Safe
Elizabeth Berg
Academ's Fury
Jim Butcher
Codex Alera (2)
The Scent of Shadows
Vicki Pettersson
Sign of the Zodiac (1)
The Dangerous Dimension
Rage of Angels
Sidney Sheldon
Executive Privilege
Phillip Margolin
Eclipse
Twilight (3)
Sentry Peak
War Between the Provinces (1)
Wisdom of the Fox
Elabon (1)
Cross the Stars
David Drake
Hammerverse (7)
Northworld Trilogy
Inherit the Stars
James P. Hogan
The Fires of Heaven
Wheel of Time (5)
The Last Drop
Wounded Healer
Donna Fleisher
Homeland Heroes (1)
Robinson Crusoe
Daniel Defoe
Dragon Keeper
Robin Hobb
Rain Wild Chronicles (1)
The Complete Wizard of Oz Collection
L. Frank Baum
Skyborn
John Jackson Miller
Star Wars: Lost Tribe of the Sith (2)
Precipice
Star Wars: Lost Tribe of the Sith (1)
Spy Killer
Dracula
Bram Stoker
The Great Secret
The Skull
Philip K. Dick
New Moon
Twilight (2)
Twilight
Twilight (1)
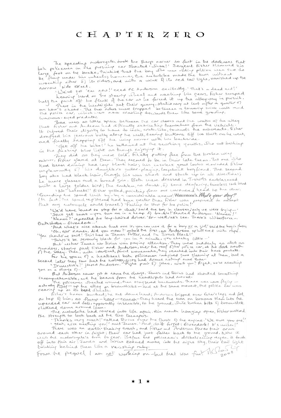
Harry Potter Prequel
J. K. Rowling
Harry Potter (0.50)
The Shadow Rising
Wheel of Time (4)
The Dragon Reborn
Wheel of Time (3)
The Great Hunt
Wheel of Time (2)
The Eye of the World
Wheel of Time (1)
The War of the Worlds
H. G. Wells